首页
产品中心
荧光染料
医用高分子
3D培养耗材
功能微球
疫苗佐剂
无机材料
分子生物学
细胞生物学
蛋白生物学
生物化学
核酸提取
逆转录
定量PCR
克隆
琼脂糖凝胶电泳
高通量核酸定量
报告基因检测
细胞处理
细胞凋亡状态测定
细胞活力&增殖测定
细胞结构染色
信号分子检测
荧光辅助剂
蛋白&抗体
免疫印迹
免疫荧光
免疫组化
Annexin V 偶联物
Azide
Biotin 相关试剂
DBCO
dUTP 偶联物
HRP-Streptavidin
胺活性染料
蛋白检测
酪胺染料试剂
链霉亲和素偶联物
马来酰亚胺染料
酶底物
酶学底物
其他巯基反应染料
羧酸未活化染料
荧光染料试剂
医用聚合物
光固化bioink
可吸收和无机物共混
聚己内酯
L-聚乳酸
L-丙交酯和ε-己内酯共聚物
聚乙交酯
聚乙烯醇
聚乙烯醇吡咯烷酮
聚4-羟基丁酸酯
聚氨酯
聚乙二醇
明胶
DL-丙交酯和乙交酯共聚物
光敏生物材料
高分子光敏材料
光引发剂
HAP与聚合物共混
β-TCP与聚合物共混
细胞小室
细胞爬片
腔室载玻片
flow-in-slide
组织工程支架
3D栅格
PCL纳米纤维细胞培养小室
TPU纳米纤维细胞培养小室
P4HB纳米纤维细胞培养小室
PCL纳米纤维细胞培养爬片
TPU纳米纤维细胞培养爬片
P4HB纳米纤维细胞培养爬片
明胶纳米纤维细胞培养爬片
PCL纳米纤维腔室载玻片
TPU纳米纤维腔室载玻片
P4HB纳米纤维腔室载玻片
明胶纳米纤维腔室载玻片
PCL纳米纤维flow in slide
TPU纳米纤维flow in slide
P4HB纳米纤维flow in slide
明胶纳米纤维flow in slide
临床试验用人工骨架
磁性微球
荧光微球
水凝胶微球
聚合物微球
无机微球
杂化/复合微球
可降解聚合物微球
不可降解聚合物微球
氧化硅微球
核壳微球
多孔/中空微球
Janus微球
人用佐剂
兽用佐剂
无机生物材料
无机纳米纤维
硅系列活性材料
磷酸钙系列生物活性材料
磷酸钙衍生产品
氧化铝基陶瓷纤维
氧化钛基陶瓷纤维
氧化硅基陶瓷纤维
定制氧化铈基陶瓷纤维
定制氧化铪基陶瓷纤维
定制氧化钇基陶瓷纤维
定制氧化物/碳复合纤维
资源资讯
前沿资讯
3D细胞培养与类器官
组织工程与再生医学
药物递送与载体系统
高通量筛选与体外诊断
生物成像与示踪
研发疫苗与佐剂
公司动态
行业新闻
资源下载
荧光染料
生物材料
3D培养耗材
市场活动
试用装申请
成果奖励
关于我们
公司介绍
业务板块
技术能力
合作案例
联系我们
首页
>
产品中心
>
荧光染料
>
细胞生物学
>
细胞结构染色
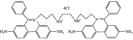
溴乙啡锭二聚体-I(EthD-I)
FluorTrace
MX1486
一键复制产品信息
淘宝店铺
产品介绍
技术问答
用户论文
相关推荐
产品介绍
技术问答
用户论文
文章名称
杂志
发表时间
学校/科研机构
影响因子
文章详情
相关推荐
名称
规格
用途
Ready-to-use Hoechst 33258 死/活细胞 DNA 染料 MX1511
10 mL / 袋
细胞核染料
TMRM 膜电位荧光探针 MX1492
25 mg / 袋
膜电位染料
TMRE 膜电位荧光探针 MX1491
25 mg / 袋
膜电位染料
DiOC6(3) 膜电位荧光探针 MX1467
20 mg / 袋
膜电位染料
DiOC5(3) 膜电位荧光探针 MX1466
20 mg / 袋
膜电位染料
合作咨询
扫描二维码
咨询合作
联系销售
7X24小时客服
0512-66523352
公众号
顶 部