首页 > 产品中心 > 荧光染料 > 生物化学 > Biotin 相关试剂

生物素尸胺,三氟乙酸盐 MS1246

FluorTrace

产品货号:MS1246 储存条件:4 ℃,避光(60个月)

产品介绍

1 产品基本信息

产品名称(中文):生物素尸胺,三氟乙酸盐

产品名称(英文):Biotin Cadaverine, Trifluoroacetate Salt

产品编号:MS1246

产品规格:10 mg

2 产品介绍

Biotin cadaverine, trifluoroacetate salt 可以耦合羧酸、DNA和其它生物分子。

产品特点:

l稳定性强:产品性能稳定,染色效果好;

l批间差小:批间差控制的好

适用范围:

    羧酸反应染料

3 产品参数

外观:可溶于DMSO的白色固体

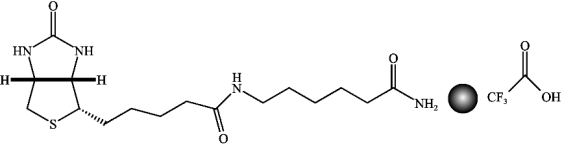
分子式:C17H29F3N4O4S

分子量:442.5

分子结构图:

 

4 储存与运输

储存条件:4 ℃ 避光保存

运输条件:冰袋运输

5 注意事项

l荧光染料均存在淬灭问题,请尽量注意避光,以减缓荧光淬灭。

l本产品仅限于科研,不得用于临床诊断或治疗,不得用于食品或药品,不得存放于普通住宅内。

l为了您的安全和健康,请穿实验服并戴一次性手套操作。

技术问答

用户论文

文章名称
杂志
发表时间
学校/科研机构
影响因子
文章详情

相关推荐