首页 > 产品中心 > 荧光染料 > 生物化学 > Biotin 相关试剂

生物素 Azide MS1273

FluorTrace

产品货号:MS1273 储存条件:-20 ℃,避光(60个月)

产品介绍

1 产品基本信息

产品名称(中文):生物素 Azide

产品名称(英文):Biotin Azide

产品编号:MS1273

产品规格:1 mg

2 产品介绍

Biotin Azide 与炔烃类物质可以通过由铜催化的 1,3-偶极环加成反应生成 1、2、3-三唑。Biotin Azide 还可以与磷化氢包含化合物发生施陶丁格反应。

产品特点:

l稳定性强:产品性能稳定,染色效果好;

l批间差小:批间差控制的好

适用范围:

    EDU检测、点击化学反应

3 产品参数

外观:可溶于DMSO的白色固体

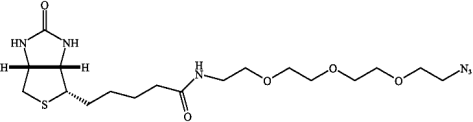
CAS号:875770-34-6

分子式:C18H32N6O5S

分子量:444.6

分子结构图:

 

4 储存与运输

储存条件:-20 ℃ 避光保存

运输条件:冰袋运输

5 注意事项

l在点击化学的标记过程中,需要引物亚铜离子进行催化;但由于亚铜离子极易被氧化成二价铜离子,因此不会直接引入亚铜离子;最佳方法就是加入还原剂如抗坏血酸还原二价铜离子。

lpH 值与温度;一般点击化学反应 pH 值在 3~12 即可,室温进行。反应速率增加是在低 pH 值水平下,在低 pH 值中,亚铜离子溶解性更好,因此更容易催化。

l若做 EDU 检测,可参考我们对应的 EDU 检测试剂盒相关实验步骤;具体染料浓度需自行摸索。

l本产品仅限于科研,不得用于临床诊断或治疗,不得用于食品或药品,不得存放于普通住宅内。

l为了您的安全和健康,请穿实验服并戴一次性手套操作。

技术问答

用户论文

文章名称
杂志
发表时间
学校/科研机构
影响因子
文章详情

相关推荐